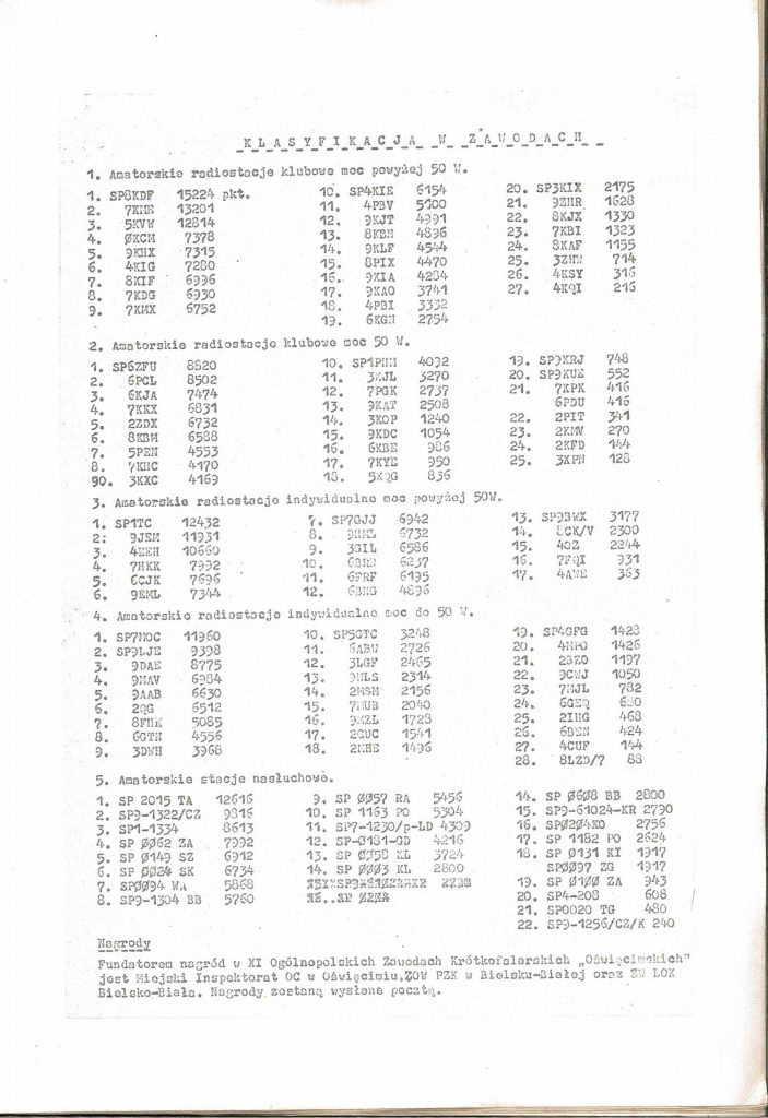
HISTORIA MDK W KRONIKACH ZAKLĘTA – cz. 10 (rok szkolny 1984/1985) 12 czerwca, 2025 Category: Aktualności, Historia MDK Możliwość komentowania HISTORIA MDK W KRONIKACH ZAKLĘTA – cz. 10 (rok szkolny 1984/1985) została wyłączona Post Views: 219